SARS-CoV-2奥密克戎变异株最早报道于2021年11月,目前已成为世界范围内的主要感染株。VV116是一个由中国科学家研发的口服小分子抗新冠病毒药物,在体外活性实验中表现出了对包括奥密克戎在内的多个新冠病毒变异株的较强抑制作用。已经完成的I期药物临床试验表明,VV116在健康受试者中表现出良好的安全性、耐受性与药代动力学特征。
近期,国家传染病医学中心、上海市传染病与生物安全应急响应重点实验室、华山感染张文宏教授团队与上海公共卫生临床中心范小红教授团队、临港实验室共同合作,完成了一项开放性、前瞻性队列研究,评估VV116对非重症奥密克戎感染患者核酸转阴时间的影响,相关成果于5月18日发表在Emerging Microbes & Infections杂志。
上海市公共卫生临床中心沈银忠教授为本文第一作者,复旦大学附属华山医院感染科艾静文,上海市公共卫生临床中心林娜,复旦大学附属华山医院感染科张昊澄、李杨、王红羽为共同第一作者。上海市公共卫生临床中心兼职教授、复旦大学附属华山医院张文宏教授与上海市公共卫生临床中心范小红教授为此文共同通讯作者。

在感染早期或有症状的非重症患者中
应用VV116或能够缩短核酸转阴时间
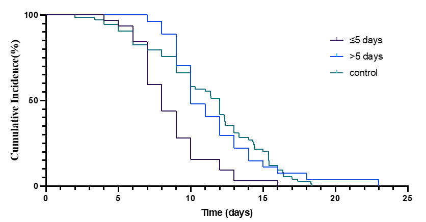
研究数据提示,在首次核酸检测阳性5日内使用VV116的奥密克戎感染患者,其核酸转阴时间为8.56天,小于对照组的11.13天。有症状的患者中,在本研究的用药时间范围内(首次核酸阳性2-10天)给予VV116,均可以缩短患者的核酸转阴时间。在药物安全性上,使用了VV116的患者中,未观察到严重不良反应。

未来探讨需要注意的是,作为一项开放性、前瞻性队列研究,本研究所纳入的样本量有限,所有受试者均未发展为重症或危重症。因此本研究未能收集到足够多的数据进一步分析VV116是否对于奥密克戎感染重症化具有预防作用,仅初步评价了轻症患者中核酸转阴这单一指标。
目前国内正有多项抗病毒药物的II-III期研究正在或准备开展,华山感染团队也正在瑞金医院宁光院士的牵头下,参与了Paxlovid 和VV116的“头对头”临床对照研究。我们也将密切关注未来更大规模的药物临床试验数据结果,以进一步评估药物对于临床恢复时间、临床重症预防及死亡率降低的具体作用。
这是“国产”抗新冠病毒药物对奥密克戎感染者临床研究结果的首个同行评议报道。未来,相信国内医疗领域各团队也将不断努力,获取更多临床试验数据,为进一步保护重症和死亡高风险人群提供更多可行方案。
来源:“华山感染”微信公号


